CHAPTER-2

VIBRATIONS

page1

page2

page3

page4

page5

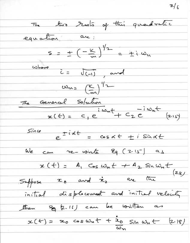
page6

page7

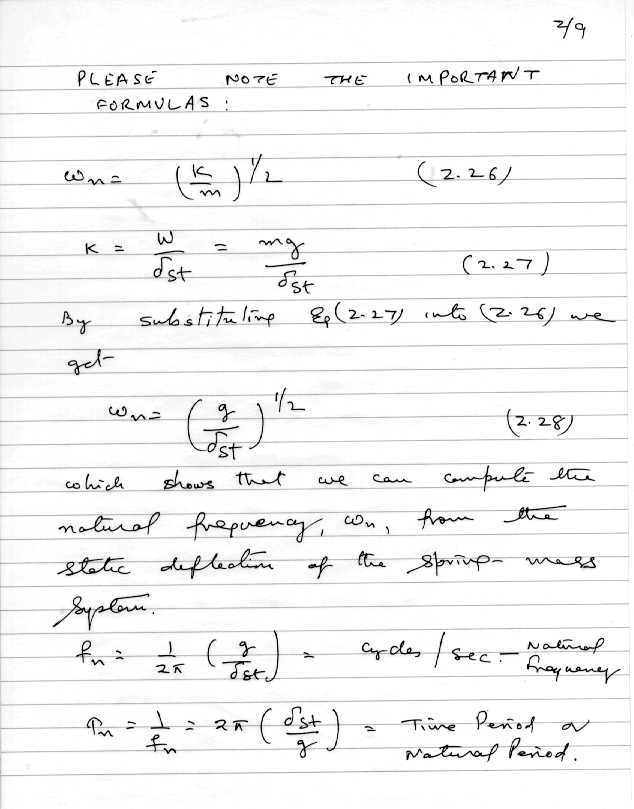
page8

page9

page10

page11

page12

page13

page14

page15

page16

page17

page18

page19

page20

page21

page22

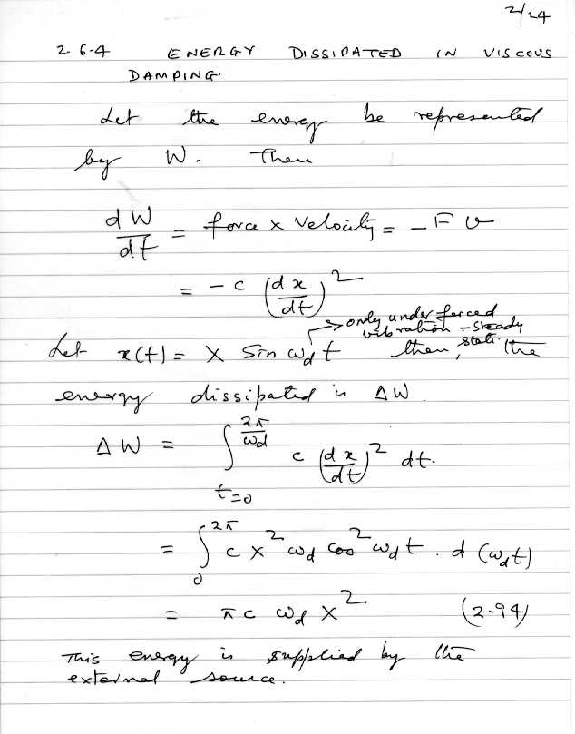
page23

page24

page25

page26