Faculty of Engineering and Applied Science
§ 3.1 Introduction and Definitions
If f(z) = 0 where f(z) = z2 + 2z + 5, then in order to find the roots of this equation it is necessary to find values for "z" such that z2 + 2z + 5 = 0. This can be accomplished by applying the quadratic formula or by completing the square. Here, the second approach will be used. Hence, it is necessary to determine values for "z" such that
|
z2 + 2z |
= |
-5 |
|
|
Þ |
z2 + 2z +1 |
= |
-5 + 1 |
|
Þ |
(z+1)2 |
= |
-4 |
Since we know that the square of any real number must be greater than or equal to zero, it follows that the roots of the given equation cannot, possibly, be real numbers. It was problems such as this one that made mathematicians, of an earlier age, realize that the real number system was not complete. A new number system, the Complex Number System, was developed that:
(a) had the real numbers as a subset, and
(b) allowed the possibility of negative squares.
Complex Number:
The number z = a + jb = a + bj is a complex number iff j2 = -1. The real number "a" is called the real part of the complex number, and the real number "b" is called the imaginary part of the complex number.
Since this is a new number system, it is necessary to establish how to work with these numbers. Hence, the following are properties are defined for any complex numbers z1 = a1 + jb1, and z2 = a2 + jb2.
Addition:
The sum of the complex numbers z1, and z2 is the complex number "w" where
|
w |
= |
x + jy |
|
|
= |
z1 + z2 |
||
|
= |
(a1 + jb1) +( a2 + jb2) |
||
|
= |
(a1 + a2) + j(b1 + b2) |
||
|
Þ |
x |
= |
a1 + a2 |
|
and |
y |
= |
b1 + b2 |
Multiplication:
The product of the complex numbers z1, and z2 is the complex number "w" where
|
w |
= |
x + jy |
|
|
= |
z1 ´ z2 |
||
|
= |
(a1 + jb1) ´ ( a2 + jb2) |
||
|
= |
(a1a2 - b1b2) + j(a1b2 - a2b1) |
||
|
Þ |
x |
= |
a1a2 - b1b2 |
|
and |
y |
= |
a1b2 - a2b1 |
Conjugate:
The complex conjugate of the complex number z1 = a1 + jb1 is the complex number
z2 = a2 + jb2 iff
|
z1 ´ z2 |
= |
(a1 + jb1) ´ ( a2 + jb2) |
|
|
= |
(a1a2 - b1b2) + j(a1b2 - a2b1) |
||
|
= |
(a1)2 + (b1)2 |
||
|
Þ |
a2 |
= |
a1 |
|
and |
b2 |
= |
- b1 |
Hence, if z2 is the complex conjugate of z1 = a1 + jb1, then z2 = a1 - jb1 and the complex conjugate is normally expressed as
.
Modulus:
The square of the modulus of the complex number w = x + jy is the real number
r2 =
.
Division:
The quotient of the complex numbers z1, and z2 with z2 ¹ 0 is the complex number "w" where
|
w |
= |
x + jy |
|
|
= |
z1 ¸ z2 |
||
|
= |
|
||
|
= |
[(a1 + jb1) ´ ( a2 - jb2)] ¸ [(a2 + jb2) ´ ( a2 - jb2)] |
||
|
= |
[(a1a2 + b1b2) - j(a1b2 - a2b1)] ¸ [(a2)2 ´ (b2)2] |
||
|
Þ |
x |
= |
[a1a2 + b1b2] ¸ [(a2)2 ´ (b2)2] |
|
and |
y |
= |
[a2b1 - a1b2] ¸ [(a2)2 ´ (b2)2] |
Alternate Representations:
Any complex number w = x + jy can also be expressed in two alternate forms.
Polar form: w = x + jy = r [ cos(q ) +j sin(q )]
Euler form: w = x + jy = r ejq
Here r = [x2 + y2]˝ is the modulus of the complex number, and q = arg(w) is called the argument of the complex number where
|
q |
= |
Tan-1(y/x) |
if x > 0 |
|
|
or |
q |
= |
Tan-1(y/x) + p |
if x < 0 |
Argand Diagrams:
Complex numbers can be represented as points on a grid that appears identical to the Cartesian co-ordinate grid (the xy-plane) except that the horizontal axis is called the real axis, and the vertical axis is interpreted as the imaginary axis.
The axes are labeled respectively as Re{z}, and Im{z}.
Sample Problems
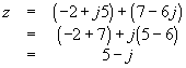
Sample Problem 1: Determine the value of z = (-2 + j5) + (7 - 6j)

Sample Problem 2: Determine the value of z = 7(3 +j4) - (2+j)(5 - 6j)

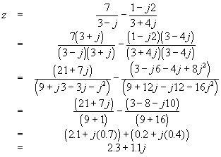
Sample Problem 3: Determine the value of ![]()

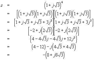
Sample Problem 4: Evaluate ![]()

§ 3.2 de Moivre’s Theorem
The last sample problem of the previous section was rather long and tedious. It would be nice if some method existed by which the amount of work needed for this and other similar problems could be reduced. It turns out that it is indeed possible by using some elementary real number properties.
The tools needed are:
(a) the Pythagorean Theorem
(b) elementary geometry
(c) some basic series expansions already studied
(d) the Binomial Theorem for arbitrary real exponents
Given any complex number z = x + jy, it is possible to represent it on an argand diagram
By means of the Pythagorean Theorem and elementary geometry, we know that


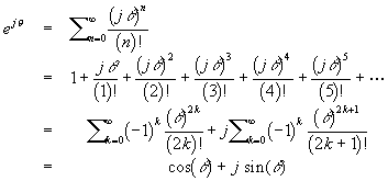
In our study of series it was found that the Maclaurin series expansion for f(x) = e x was
![]()
If we set x = j q , and use the fact that (j)n+4 = (j)n for n ³ 1 where (j)2 = -1, (j)3 = -j, (j)4 = 1 then

Hence, by combining the three representations for complex numbers, the following is easily shown to be true

This result is called de Moivre’s Theorem, and is used primarily for the following situations
(a) determining integer powers of complex numbers,
(b) finding rational powers of complex numbers (especially roots)
(c) establishing the various trigonometric identities.
Examples of each of these applications will be done in class.